![]()
图片来源@视觉中国
钛媒体注:本文来自于微信公众号量子位(ID:QbitAI),作者为鱼羊、白交,钛媒体经授权发布。
全人类的喜报,新冠疫苗相关的最新临床试验结果,来了。
权威医学期刊《柳叶刀》,最新刊发了两项COVID-19腺病毒载体疫苗临床试验结果:
一份,中国陈薇院士团队的Ad5载体疫苗二期临床试验结果。
另一份,牛津大学和制药巨头阿斯利康公司的黑猩猩腺病毒载体疫苗1/2期临床试验结果。
两项研究均表明:疫苗安全,并能够诱导免疫反应。
![]()
另外,BioNTech和辉瑞公司的mRNA疫苗1/2期临床试验的部分结果,也已上传到预印本平台medRxiv上,结果同样正面:主要候选疫苗BNT162b1产生了高水平新冠病毒抗体。
陈薇团队新冠疫苗二期临床试验结果
先来中国看看军事科学院军事医学研究员陈薇院士团队的Ad5载体疫苗的2期临床试验结果。
这项随机、双盲、安慰剂对照2期临床试验在武汉完成,共有508名合格志愿者参与。
参与者的平均年龄为39.7岁,其中309位年龄在18-44岁之间,134位年龄在45-54岁之间,年龄在55岁以上的患者在各治疗组中均占13%。
参与者分为3组,分别接种1×10^11 vp、5×10^10 vp疫苗和安慰剂。
具体而言,有253人接种高剂量疫苗,129人接种低剂量疫苗,126人接种安慰剂。
![]()
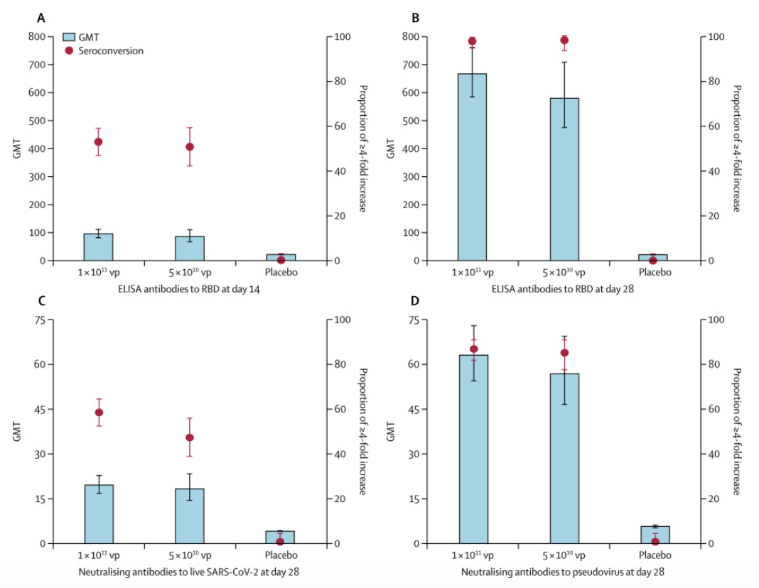
接种后28天,1×10^11 vp和5×10^10 vp组血清抗体阳性率分别为96%和97%,并产生了高滴度的RBD特异性ELISA抗体。
而安慰剂组对比基线,未显现抗体增加。
另外,高剂量组和低剂量组之间并无显著差异。
![]()
两种不同的疫苗剂量,均诱导了对新冠病毒的中和抗体应答,GMT(几何平均抗体滴度)分别为19.5和18.3。
并且在高剂量组,有90%的参与者产生了SARS-CoV-2峰值糖蛋白特异性IFNγ-ELISpot反应;在低剂量组,这一比例为88%。这证明该疫苗诱导了T细胞应答。
而在接种疫苗前,原本就存在Ad5抗体的参与者中,无论是存在的抗体水平低(下图B)还是高(下图C),观察到的T细胞斑点数均明显增加。
![]()
也就是说,这种Ad5载体病毒能有效引起免疫反应。
而副作用方面,大部分受试者出现的不良反应,属于轻微或中度。
高剂量组的不良事件发生率为72%,其中9%参与者发生3级不良反应。
低剂量组不良事件发生率为74%,1%参与者发生3级不良反应。
(论文指出,3级不良反应是自限性的,无需药物即可在72-96小时内解决。)
最常见的3级不良反应是发烧。
相较之下,5×10^10 vp低剂量组的不良反应相对较轻,且剂量足以诱导有效的免疫反应。
![]()
另外,基于年龄的分层分析发现,两组中,年龄在55岁以上的参与者在接种疫苗后的抗体应答水平都相对较低,特别是中和抗体方面。
论文一作、江苏省疾控中心朱凤才教授表示,2期临床试验与1期临床试验相比,为疫苗在更大范围人群中的安全性和免疫原性提供了进一步的证据,这是评估候选疫苗的“重要一步”,团队目前正在开展3期临床试验。
研究人员也指出,参与试验的志愿者并没有在接种疫苗后接触新冠病毒,因此还无法基于这项试验结果来判断疫苗能否有效保护人们免于感染新冠病毒,还需要3期临床试验来进一步验证。
牛津大学&阿斯利康1/2期临床试验结果
另一个新进展,来自牛津大学和阿斯利康公司联合开发的疫苗——「ChAdOx1 nCoV-19」。
这同样是一种腺病毒载体疫苗——以一种黑猩猩腺病毒作为载体的疫苗。
这种病毒会引起黑猩猩普通感冒,经过大量改造之后,它既不会引起人感染,又使其「看起来」更像是新冠病毒。
如何做到的呢?
科学家们将冠状病毒的「尖峰蛋白」——入侵人体细胞的关键工具,其基因指令转移到正在研发的疫苗当中。
随后,他们在英国的5个试验场地,*1077名受试者中进行了1/2期单盲、随机、对照试验。
这些受试者年龄在18-55岁区间,其中,543人接种了ChAdOx1-nCoV-19疫苗,534位对照组接种了脑膜炎共价疫苗MenACWY,当中10人还进行了非随机的ChAdOx1 -nCoV-19初免-加强试验。
试验组在接种14天后,T细胞水平应答达到峰值,在接种后的28天内,抗体滴度持续上升,并在第二次加强接种后继续上升,就在28天内达到峰值。
![]()
在这期间,试验组产生局部和全身不良反应的现象更为普遍,大约有67%产生发烧、肌肉酸痛、头痛等症状,而在对照组有38%感到不适。
但试验组中,有56位患者提前服用了「扑热息痛」,结果很少有人产生不良反应。这说明,「扑热息痛」药物的使用可以缓解不良反应。
总体而言,这些症状强度都在轻度和中度,并没有严重不良反应。
![]()
△受试者前7天内的局部(A)和全身(B)不良反应
此外,还对当中35名受试者进行「血清中和检测」。
如果应用「MNA80法」检测,有32名(91%)在单次接种后具有血清中和反应;而应用「PRNT50法」,100%的受试者都检测到血清中和反应。在加强接种后,所有被检测的受试者均有血清中和反应。
![]()
△实时疫苗中和检测(MNA80和PRNT50)和微中和检测(PHE MNA)
结果显示,血清中和反应和IgG滴度呈现正相关。
说明该疫苗ChAdOx1 nCoV-19具有可接受的安全性,并能诱导一定抗体和T细胞应答。
因此可以进行3期临床试验。
不过《柳叶刀》还是严谨提示:
这项研究还没有进行得足够长,无法理解它们能持续多久,仍然无法证明疫苗是否可以预防人患病甚至减轻Covid-19的症状。
但是,他们已经有了下一阶段试验计划。
下一步,他们预计将有超过10000人接受临床试验,并将其扩展到其他国家。
mRNA疫苗临床试验结果
同一天,BioNTech与辉瑞这边也有新进展。
他们研发的mRNA疫苗BNT162b1的1/2期临床试验部分结果上传到了medRxiv平台,此前就将该疫苗的抗体和血清中和结果上传到该平台。
此次研究补充上次的抗体数据,指出该疫苗可以同时诱导有效的抗体反应和T细胞应答。
![]()
前不久,Moderna在NEJM发表了他们mRNA疫苗mRNA-1273的1期临床试验结果,说明该疫苗能够有效诱导T细胞应答,但同时也指出了存在一些潜在的严重副作用,需要在以后的较大试验中进行观察。
这一结果与辉瑞的mRNA疫苗BNT162b1的临床试验结果具有诸多一致性。
对于这三项结果,知名医学领域博主、艾滋病研究科学家@子陵在听歌评价道:
上述两个腺病毒载体疫苗诱导的血清中和活性比Moderna和辉瑞的mRNA疫苗诱导的血清中和活性要低,而腺病毒载体疫苗的一个优势是诱导相对高效的「T细胞应答」。
虽然一天内多项疫苗临床试验结果出炉,结果都令人振奋。但目前以上试验结果仍然无法判断疫苗能否有效保护人们免于感染新冠病毒,有待进一步验证。
《柳叶刀》还进一步补充说:
全球当前有大约250种候选新冠病毒疫苗在研发中,其中至少有17种疫苗处于临床试验阶段。
![]()
△图片via:BBC
虽然疫苗研发,并不能一蹴而就,但疫情围困之下,全球科学界都在加紧攻关,当前速度就已经超乎寻常,相信距离疫苗成功,已经不远了。
参考链接:
陈薇团队论文:
https://www.thelancet.com/journals/lancet/article/PIIS0140-6736(20)31605-6/fulltext
牛津大学论文:
https://www.thelancet.com/journals/lancet/article/PIIS0140-6736(20)31604-4/fulltext
BioNTech&辉瑞论文:
https://www.medrxiv.org/content/10.1101/2020.07.17.20140533v1
@子陵在听歌:
https://weibo.com/1251560221/Jc7UKcG77?filter=hot&root_comment_id=4528910056296666&type=comment#_rnd1595302230755







快报
根据《网络安全法》实名制要求,请绑定手机号后发表评论
厉害